-
백준 7812: 중앙 트리코딩 2021. 9. 16. 13:53
https://www.acmicpc.net/problem/7812
7812번: 중앙 트리
입력은 여러 개의 테스트 케이스로 이루어져 있다. 각 테스트 케이스의 첫 줄에는 트리의 정점의 수 n이 주어진다. (1 ≤ n ≤ 10,000) 각 정점은 0번부터 n-1번까지 번호가 붙여져 있다. 다음 n-1개 줄
www.acmicpc.net
풀이
$O(N^2)$으로는 TLE를 받게 됩니다. 따라서 이보다 더 빠른 코드를 찾아야 하고, 트리 dp를 생각해봤을 때 $O(N)$의 풀이를 찾을 수 있습니다.
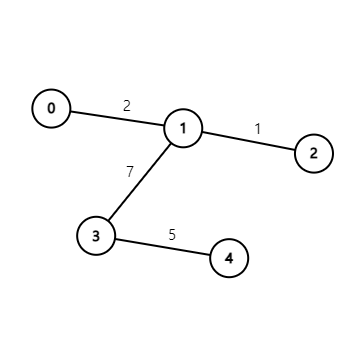
문제의 예제 입력 테스트 케이스 1번을 봅시다.

편의를 위해 0번 노드를 루트 노드로 잡겠습니다.
$dp[i]=(i$번 노드에서 모든 정점으로 이르는 비용의 합$)$이라 합시다. 이 식을 가지고 자식 노드와 부모 노드 간의 점화식을 세우겠습니다.
위 그림에서 예시를 들어 $dp[1]$과 $dp[3]$의 관계식을 세워보겠습니다. $i$번 노드를 루트로 하는 서브 트리의 노드 개수를 $sub[i]$라 합니다. 그러면 $sub[1]=4$, $sub[3]=2$가 됩니다.
전체 트리에서 3번 노드가 루트인 서브 트리를 제외한 트리를 생각해봅시다. 그 트리 안에 1번 노드가 포함되어 있고, 1번 노드에서 다른 노드로 이르는 거리의 합을 $x$라 잡습니다.
3번 노드가 루트인 서브 트리에서 3번 노드에서 다른 노드로 이르는 거리의 합을 $y$라 잡습니다.
그리고 1번 노드와 3번 노드 사이의 거리 7을 $dis$라고 합시다.
그렇다면 $dp[1]=x+y+sub[3]\times dis$로 표현할 수 있게 됩니다(왜인지는 너무 자명하여 설명하지 않겠습니다). 그리고 $dp[3]=x+y+(($전체 노드의 개수$)-sub[3])\times dis$로 표현이 됩니다.
위의 두 식으로 $dp[1]$과 $dp[3]$과의 관계식을 구하면 $dp[3]=dp[1]-(2sub[3]-N)\times dis$(단, $N$은 전체 노드의 개수)가 됩니다.
예시와 같이 자식과 부모 간의 점화식을 구하면 $dp[parent]=dp[subling]-(2sub[subling]-N)\times dis$가 됩니다.
초기조건인 루트의 dp값은 처음 dfs를 돌리면서 구해줍니다.
코드
위의 풀이로 짠 코드입니다.
#include <bits/stdc++.h> using namespace std; typedef long long ll; vector<pair<ll, ll>> adj[10000]; bool visited[10000]; ll sub[10000], dp[10000], n; ll subdfs(ll x) { ll s=1, tot=0; for(auto i: adj[x]) { if(!visited[i.first]) { visited[i.first]=1; tot+=subdfs(i.first); s+=sub[i.first]; tot+=i.second*sub[i.first]; } } sub[x]=s; return tot; } void dfs(ll x) { for(auto i: adj[x]) { if(!visited[i.first]) { visited[i.first]=1; dp[i.first]=dp[x]-(2*sub[i.first]-n)*i.second; dfs(i.first); } } } int main() { ios_base::sync_with_stdio(0); cin.tie(0); ll a, b, w; cin >> n; while(n) { for(ll i=0; i<n; i++) { adj[i].clear(); visited[i]=0; sub[i]=0; dp[i]=0; } for(ll i=0; i<n-1; i++) { cin >> a >> b >> w; adj[a].push_back({b, w}); adj[b].push_back({a, w}); } visited[0]=1; dp[0]=subdfs(0); for(ll i=0; i<n; i++) visited[i]=0; visited[0]=1; dfs(0); ll m=LONG_MAX; for(ll i=0; i<n; i++) m=min(m, dp[i]); cout << m << "\n"; cin >> n; } }'코딩' 카테고리의 다른 글
백준 12987: Matrix Again (0) 2021.12.09 Codeforces Round #752 (Div. 2) (1) 2021.11.01 백준 7453: 합이 0인 네 정수 (1) 2021.08.13 백준 2226: 이진수 (0) 2021.08.01 백준 1188: 음식 평론가 (0) 2021.07.25